具有色光鲜艳、各项牢度性能优异等特点。色相呈蓝光红色,属于还原染料型的有机颜料。广泛用于涂料、油墨、塑料合成纤维等方面的着色。它的透明性很好,可用于金属闪光漆。经过专门加工表面处理还可以用于塑料和涤纶纺丝等方面着色。


颜料结构式:
颜料过过程:







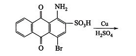
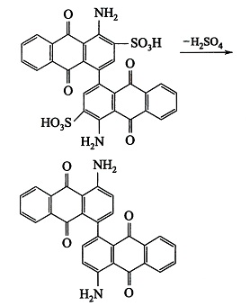
4g(0.01mol)1-氨基-4-溴蒽醌-2-磺酸钠(溴氨酸钠)、1.9g(0.03mol)铜粉和0.7~1.2g 50%硫酸混合,在90℃下搅拌反应1.5h。趁热用碳酸钠水溶液中和至呈碱性,过滤。将滤液加热至80~100℃,用氯化钠盐析,在60~80℃下过滤,用2%氯化钠溶液洗涤。取4g该滤饼,加到100mL热水中,在90~98℃下加入0.5g活性炭。过滤,滤液用氯化钠盐析。再过滤,用2%氯化钠溶液洗涤,得棕红色的4,4′-氨基-1,1′-二蒽醌-3,3′-二磺酸钠,收率90%。
取3.3g上述产物,加入24g硫酸(配成80%的水溶液),在135~140℃下搅拌3.5h,以薄层色谱检测反应终点。反应完毕后,冷却至60℃,将其倒入冰水混合液中,过滤,用较稀的氢氧化钠溶液洗涤,水洗,干燥,得深红色的4,4′-二氨基-1,1′-二蒽醌,收率92%。
取2g上述产物,加入0.1g表面活性剂和10mL 5%松香,在85~95℃下搅拌1h,然后酸化至pH值为5~6,过滤,水洗,干燥,得产品。